In general, heat exchangers are the devices used to exchange heat between same or different forms of matter through conduction, convection or radiation. Industrially, the term ‘heat exchangers’ is used for devices that assist in exchanging heat between two fluids at different temperatures without physically mixing them. For example, room or water heaters are used to heat the ambient air or water by exchanging heat between the heating element and the surrounding air or water respectively. Also, refrigerators or air conditioners have heat exchangers to exchange the heat and cool the surrounding medium. Likewise, they have diverse applications in wide range of fields such as automobile industry, food and beverage industry, nuclear power production etc.
Figure 1: Schematic showing a simple parallel flow shell and tube heat exchanger.Also read: Kettle Reboiler- heat exchangers

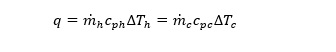
, and
are the flow rates of hot and cold fluids, respectively. Specific heats of hot and cold fluids are cph and cpc respectively while ΔTh and ΔTc are the absolute changes in temperatures between inlet and exit for hot and cold fluids, respectively. In shell and tube heat exchangers, amount of heat transferred per unit time, q is represented by (Holman, 2010),
where U is overall heat transfer coefficient, A is effective surface area for heat transfer, F is correlation factor and ΔTm is log mean temperature difference between two fluids.
Overall heat transfer coefficient depends on various properties such as type of exchangers. As well as physical properties of fluid such as density, viscosity etc, turbulence in flow, thickness of tubes/plates, thermal conductivity of the design material and fouling. For example, in case of a shell and tube heat exchanger overall heat transfer coefficient can be represented in terms of individual resistances to heat transfer on both inside and outside of the tube. In a simpler case, where U stays constant in the process, it can be represented as
where A, r and h represent total surface area of the tube, radius of the tube and heat transfer coefficient in the fluid, respectively. Suffixes o and i represent outside and inside of the tubes, respectively. L and k are the length of the tubes and thermal conductivity of the design material of the tubes, respectively. ΔTm, can be represented in terms of inlet and exit temperatures of fluids as
Apart from desired heat load, factors such as:
Mechanical cleaning, treatment of inlet water or circulating cleaning fluids are some of the methods used for maintenance of heat exchangers. Some design materials such as stainless steel or titanium are more resistant to corrosion while copper alloys reduce biological fouling, thereby having higher performance.
Also read: Understanding the Benefits of Kettle-Type Heat Exchangers in Industrial Applications
According to the research conducted by P&S market research (P & S market research, 2016), market size of heat exchangers was valued at 14.1 billion dollars in 2014 and is estimated to grow with a CAGR of 6.5 % during the period of 2015-2020 with chemical industry expecting the highest growth at CAGR of 9.2% and Europe being the biggest market for heat exchangers.
[1] Shah, R. K., 1994, Heat exchangers, in Encyclopedia of Energy Technology and the Environment, Wiley, New York, pp. 1651–1670.
[2] JP Holman, 2010, Heat Transfer, 10th Edition, McGraw Hill, New York.
[3] “Global Heat Exchangers Market Size, Share, Development, Growth and Demand Forecast to 2020”, P&S market research.